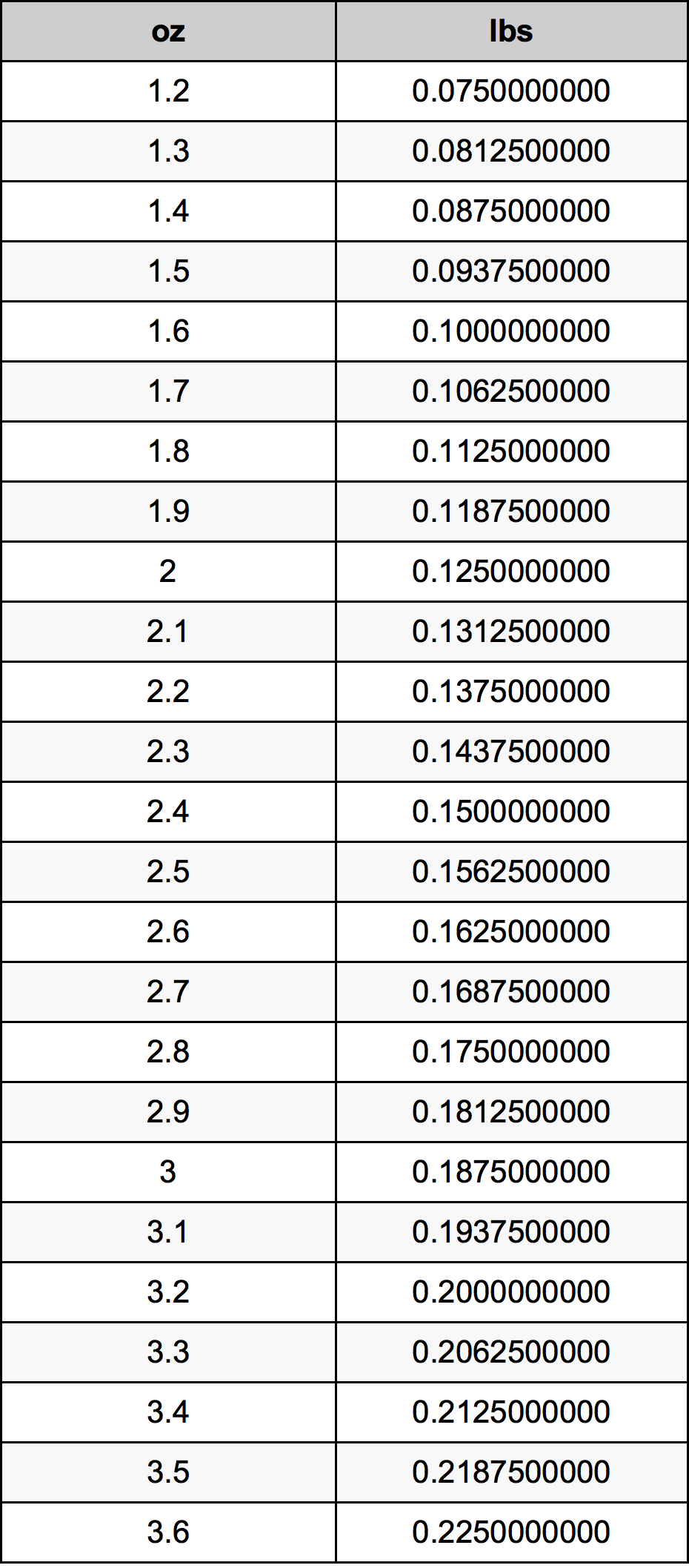
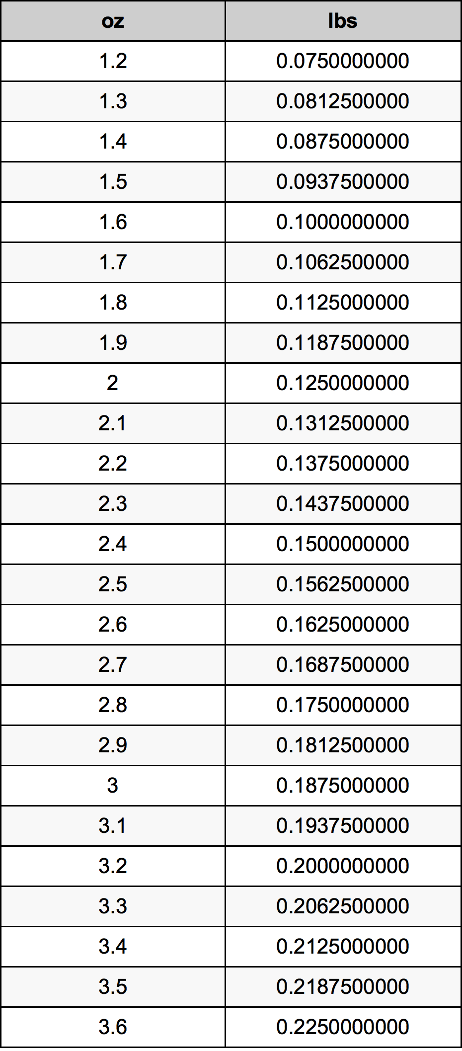
Are you struggling to convert ounces to pounds in your daily life? Look no further! We have created a handy Ounces To Pounds Printable Chart that will make your life much easier.
This printable chart is perfect for anyone who needs a quick reference when converting between these two units of measurement. No more stressing about the math – just print out the chart and keep it handy for whenever you need it!
Ounces To Pounds Printable Chart
Ounces To Pounds Printable Chart
With our Ounces To Pounds Printable Chart, you can easily convert ounces to pounds and vice versa with just a quick glance. Say goodbye to complex calculations and hello to simplicity!
Whether you’re cooking in the kitchen, working on a DIY project, or just need to convert weights for any reason, this chart will be your new best friend. It’s convenient, practical, and oh-so-easy to use.
Simply download and print out the chart, then keep it in a handy spot where you can easily refer to it whenever needed. No more guessing or struggling with conversions – let our chart do the work for you!
So why wait? Say goodbye to the hassle of converting ounces to pounds manually and grab our Ounces To Pounds Printable Chart today. It’s a game-changer that will save you time and make your life a whole lot easier!
Ounces To Calculator 9 Stone 5 Pounds In Kg Kentucky Conversion Chart Ounces To Decimal Pounds
Printable Weight Converter Conversion Chart 225 Pounds In Kilos Ounces To Pounds Converter Oz To Lbs
Ounces 36 Kg In Pounds Weight Conversion Chart Kg In Pounds And Ounces Conversion Table
To Ounces Conversion Pound Grams Baby Weight Chart Pounds Ounces In Kg Baby Weight Conversion Chart
Ounces To Pounds Conversion Chart Goimagine Maker Support Center





